在健康消费持续扩容的背景下,“药食同源”成分正在重塑中国功能食品市场的产品格局与消费动向。以Z世代为代表的年轻群体是这一趋势的核心驱动力,他们推崇的“轻养生”理念,推动药食同源相关成分从传统滋补领域快速渗透至多个功能食品品类。
在此过程中,体重管理赛道的表现尤为突出:数据显示,Z世代在该类消费中支出占比高达62%,超出整体人群约40%,且消费主力为一线及新一线城市的女性用户[1]。这一强劲需求也直接带动了药食同源类体重管理产品在电商渠道的销量快速增长,并持续激发产品创新与迭代[1]。

图:2025年体重管理食品趋势报告
在众多药食同源成分中,人参凭借其深厚的传统认知基础,以及经现代科学验证的免疫调节、补气养血等功效,长期在市场中保持领先地位[2]。近年来,人参的应用场景进一步延伸至体重管理领域,多款以人参提取物为核心成分的产品持续热销,展现出这一细分方向的增长潜力。

图:2024年药食同源市场趋势分析
基于上述趋势,本文聚焦人参提取物在体重管理领域的应用趋势,旨在为品牌方提供产品规划与市场布局的决策依据,助力把握年轻消费力引领的产业新机遇。
以下将结合四款国内热销产品展开具体解析:
01
热销产品一
品牌:呜咔实验室
产品:乳酸菌菌粉+黑参益生元(早安饮、晚安饮)
剂型:粉剂

核心成分:
短双歧杆菌ACOT2-BB、植物乳植杆菌LP-KFY04、植物乳植杆菌LP3A、长双歧杆菌长亚种ACOT2-BL、短双歧杆菌B-3、长双歧杆菌长亚种BB536、黑参益生菌微晶球、黑参益生元
产品亮点:
创新融合富含人参皂苷CK的黑参提取物与六大益生菌株,通过协同作用激活BAT(棕色脂肪组织),旨在同步实现高效燃脂与肠道健康改善。其独创的「二元一菌」分时管理体系,通过“早安饮+益生菌+晚安饮”的组合与28天×3阶段的科学周期,为使用者提供全天候、可持续的体重管理支持。
推荐人群:
为追求科学高效、系统化体重管理的现代消费者设计
02
热销产品二
品牌:正官庄
产品:GLPro™Double Cut
剂型:液体+片剂

核心成分:
6年根红参浓缩液、柠檬薄荷提取物混合粉末(Ob-X)
产品亮点:
核心成分选用六年根高丽参提取的红参精华(KGC05pg),通过显著提升GLP-1水平促进胰岛素分泌,高效调节血糖平衡,从而降低体重管理难度,同步实现控糖与体脂管理的双重目标。创新采用“液体+片剂”2in1复合剂型,兼顾便捷性与吸收效率;0蔗糖配方设计,每日一瓶轻量负担,更易坚持。
推荐人群:
适合大基数体重、塑形困难、碳水依赖及饮食不规律等需科学管理体重的消费者
03
热销产品三
品牌:SKIGIN欣苷
产品:人参姜橙饮品
剂型:液体

核心成分:
发酵人参粉、生姜绿茶复合微囊粉
产品亮点:
核心成分采用高活性发酵人参粉,富含6种稀有人参皂苷且成分利用率提升至90%以上,既优化了传统人参的苦涩口感,又大幅降低燥性、减少上火风险;搭配生姜绿茶复合微囊粉,协同高效提升燃脂效率,科学助力养成健康轻盈体态。
推荐人群:
适合希望以内养外、温和调理体质,并追求健康减重的消费者
04
热销产品四
品牌:薇引力
产品:黑参小轻盈
剂型:粉剂

核心成分:
中链甘油三酯微囊粉20%、甘油二酯粉15%、黑参超微粉
产品亮点:
科研配方围绕“阻糖-燃脂-促代谢”三重通路展开。黑参精华能够促进白色脂肪棕色化,帮助调节糖脂代谢;甘油二酯与中链甘油三酯微囊粉协同作用,提升燃脂效率并减少脂肪堆积。三者协同,共同实现科学减重、体型修饰与代谢提升的综合健康效益。
推荐人群:
适合有体重控制、代谢提升及体脂改善需求的消费者
综合上述产品分析,人参提取物在体重健康领域的应用主要呈现出三大核心趋势:
1
成分功效升级:
从传统滋补到靶向调节
产品研发更加注重人参成分的深度开发与高价值转化。通过提取稀有人参皂苷(如CK、Rh4、Rg5等),并借助发酵等工艺提升生物利用度,使人参从传统的滋补功能转向精准靶向调节,如在GLP-1通路调控、促进白色脂肪棕色化、提升基础代谢等具体生理环节发挥科学作用。
2
健康目标拓展:
从单一减重到综合代谢管理
市场已突破“减重”这一单一目标,转向多维健康效益的整合。产品设计普遍将体重管理与血糖平衡、肠道微生态调节、能量代谢提升等关联健康维度相结合,旨在实现“减重+控糖+内调”的协同效应,满足消费者对长期、可持续健康管理的综合需求。
3
用户体验优化:
从功能产品到科学解决方案
品牌愈发注重产品的可坚持性与用户体验。通过剂型创新(如“液体+片剂”2in1)、分时管理体系(如“早安饮+晚安饮”)及周期化服务方案,将产品从单一功能品升级为一套易于执行、便于坚持的科学体重管理解决方案,有效提升用户粘性与满意度。
对趋势的解读最终需落地于创新产品。为此,诚一重磅推出“人参浓缩液”,它不仅是对市场需求的回应,更以扎实的科研突破,为新一代体重管产品理注入核心动力,其突出成分价值如下:
精选自我国人参核心道地产区--吉林长白山抚松县的5年足龄人参,其得天独厚的地理环境与充足生长年限确保了活性成分的富集与品质纯粹,更凭借独有技术,将稀有人参皂苷含量提升1000倍,稳居行业领先地位。
原料中稀有人参皂苷总含量≥4%,核心功效成分Rg3+Rk1+Rg5含量≥1.5%,吸收率比原型人参皂苷高出30倍以上,不仅带来更显著的功效体验,更在同类产品中具备更强竞争力。
更多资料,推荐阅读:
诚一引进新技术成分「稀有人参皂苷」:30+倍吸收率定义百亿单品新标杆!
基于人参浓缩液的优异成分,其可精准赋能体重管理产品的开发,关键科研依据如下:
体重管理方向:
研究证实,人参提取物能有效激活棕色脂肪组织(BAT),进而实现减轻体重、降低体脂含量的效果[3]。

人参皂苷Rg5与Rk1能够有效减少细胞内脂质积累,其作用表现为抑制脂滴生成、降低甘油三酯含量,并显示出显著的抗脂肪生成活性[4]。

此外,诚一人参浓缩液还兼具提升耐力与免疫力等多重功效,均有科研支持:
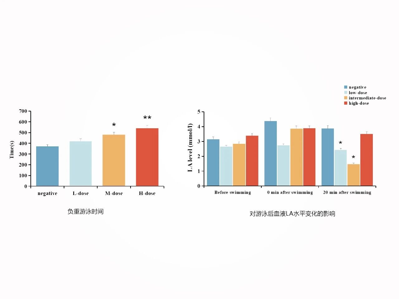
抗疲劳方向:
人参能通过保护细胞免受氧化应激损伤,有效减轻肌肉疲劳感。
实验证明,服用人参可显著延长负重游泳时间,并降低运动后血乳酸(LA)水平,从而加速疲劳缓解[5-6]。


<<滑动查看下一张图>>
提升免疫力方向:
研究表明,人参能增强感冒人群的免疫细胞功能,帮助机体维持内环境稳态。
在细胞层面,人参可增强细胞对紫外线等应激源的耐受性,通过抑制凋亡通路来逆转受损状态[7]。


<<滑动查看下一张图>>
本文系统梳理了人参提取物在体重管理领域的产品趋势,并重点介绍了诚一核心原料“人参浓缩液”在该赛道的竞争优势。如需进一步了解该原料,欢迎通过微信公众号样品申请板块与我们联系,也可直接致电咨询。
若希望了解该原料在女性健康等高增长领域的应用前景,欢迎阅读往期文章:
3000亿女性健康风口下,“人参+”正迅速崛起为品牌增长新引擎!
诚一依托全球优质供应链与前沿科研实力,提供从原料供应、配方研发到市场推广的全链路解决方案,助力品牌把握体重管理市场的新机遇,共同实现可持续健康发展。
参考文献:
[1]《2025年体重管理食品趋势报告》
[2]《2024年药食同源市场趋势分析》
[3]Gut. 2020 Jul;69(7):1239-1247.
[4]Iranian J Biotech. 2017 October;15(4):e1517
[5]Biol Pharm Bull. 2008 Nov;31(11):2024-7.
[6]J Ginseng Res. 2021 Jan;45(1):191-198.
[7]Naunyn Schmiedebergs Arch Pharmacol. 2010 Jul;382(1):89-101.
首页